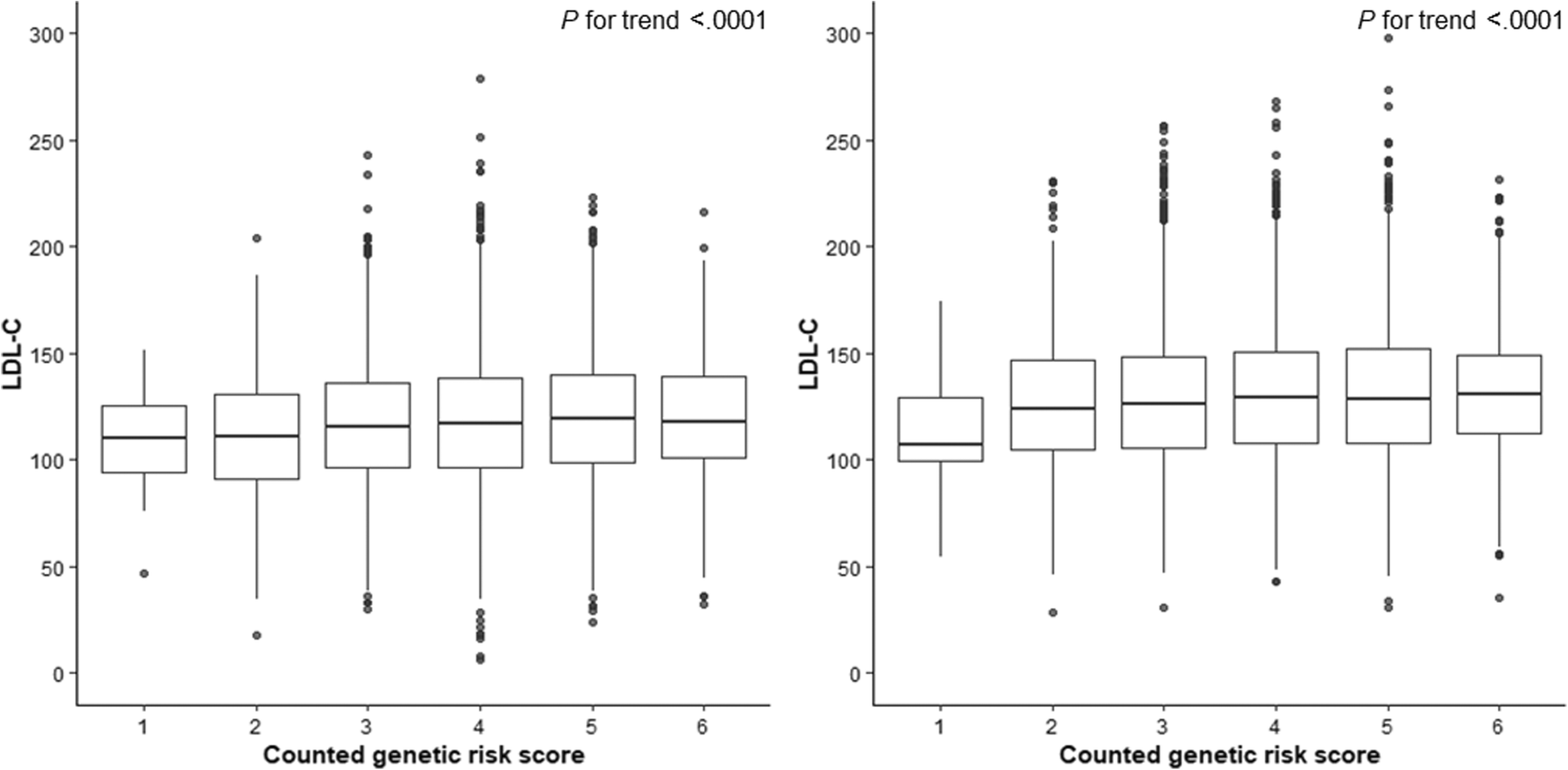
Fig. 2From: Inference of a causal relation between low-density lipoprotein cholesterol and hypertension using mendelian randomization analysisAssociation between LDL-C and counted genetic risk scores in men and women. LDL-C low-density lipoprotein cholesterolBack to article page